Wenger's Blog
  • Home
  • Archives
  • Categories
  • Tags
  • About
May 17, 2025 pm
7 words 1 mins

常见激活函数

常见激活函数

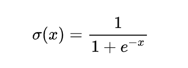
Sigmoid

image-20250517094919628

image-20250517094934569

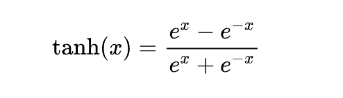
Tanh

image-20250517095022386

image-20250517095117025

ReLU

image-20250517095157081

image-20250517095227279

SoftMax

image-20250517095425367

image-20250517095445524


八股
#八股 #面试
常见激活函数
https://wengerblogs.me/2025/05/17/常见激活函数/
Author
Wenger
Posted on
May 17, 2025
Licensed under
八股速记 Previous
快速进阶LLM/AI的必读系列 Next

Table of Contents

Search

Hexo Fluid